Student close contact behavior and COVID-19 transmission in China's classrooms
3University of Hong Kong 4Beijing University of Technology
5Clean Energy Research Institute, China Electric Power Planning and Engineering Institute
Abstract
In this paper, we developed a wearable device for close contact behavior detection and recorded more than 250-thousand data points of close contact behaviors of students from Grades 1 through 12. Combined with a survey on students’ behaviors, virus transmission characteristics in classrooms was analyzed. We found that close contact rates for students were `37%\pm11%` during classes and `48%\pm13%` during breaks. Students in lower grades had higher close contact rates and virus transmission potential. The long-range airborne transmission route is dominant, accounting for `90%\pm3.6%` and `75%\pm7.7%` with and without mask wearing, respectively. During breaks, the short-range airborne route became more important, contributing `48%\pm3.1%` in grades 1 to 9 (without wearing masks). Our proposed human behavior detection and analysis methods offer a powerful tool to understand virus transmission characteristics, and can be employed in various indoor environments.
Students’ behavior characteristics in classroom
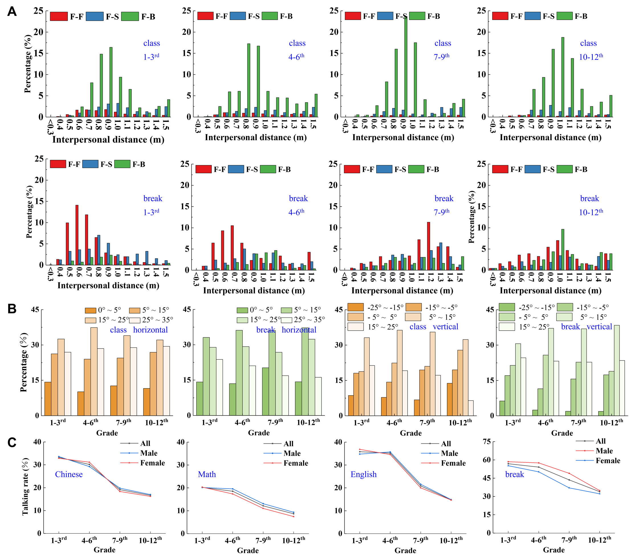
During classes, face-to-back is the main orientation for close contacts because students usually face the blackboard and teacher. The probability of face-to-back close contact increases with grade level. During breaks, face-to-face was dominant. The absolute horizontal relative angles were usually concentrated between `5°~35°` during classes and `15°~25°` was the dominant relative angle range. During breaks, the absolute horizontal relative angles were usually concentrated between `5°~25°` and `5°~15°` was the dominant relative angle range. The vertical relative angle was usually concentrated between `-5°~25°` during both classes and breaks, with relatively few vertical angles being less than `-5°`. During breaks and classes, the talking rate generally decreased with increasing grade. English, Chinese, and Math class had average talking rates of `27%`, `25%`, and `15%`, respectively.
Virus transmission characteristics in classroom
Taking into account the school’s ventilation, the researchers estimate that most COVID-19 viral transmission in the school would be via long-distance airborne transmission, although short-range airborne transmission was more likely during breaks—but only when no masks were worn.
Analysis of the influence of ventilation rate
The relative infection risk declined with increasing outdoor air ventilation rate, but this trend gradually flattened out. The absolute value of `\frac{∂(C//C_{base})}{∂Q}` changed little (`≤2%`) when the outdoor air ventilation rate exceeded `30 m^3`/`h`/`person`. Above this point, continually increasing outdoor air does not reduce the infection risk effectively, but consumes more energy. Therefore, we suggested a `30 m^3`/`h`/`person` outdoor air ventilation rate in classrooms.
Check out our paper for more details.
Citation
@article{guo2023student,
title={Student close contact behavior and COVID-19 transmission in China's classrooms},
author={Guo, Yong and Dou, Zhiyang and Zhang, Nan and Liu, Xiyue and Su, Boni and Li, Yuguo and Zhang, Yinping},
journal={PNAS Nexus},
volume={2},
number={5},
pages={pgad142},
year={2023},
publisher={Oxford University Press US}
}




