Contents

Simple stats

ans =

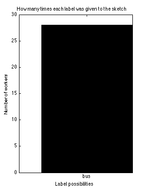
Correct guesses: 28 (93% of all workers)


ans =

Incorrect guesses: 1 (3% of all workers)


ans =

No guesses made: 1 (3% of all workers)


ans =

Total # sketch strokes: 14


ans =

Sketch stroke at which guessed: mean=9.10714, std=3.4463 (65% of whole sketch)


ans =

Number of guesses: mean=1.26667, std=0.583292

Worker comments on sketch

 
com{1} =
 
     []
 

When correct guesses were made

Wrong guesses made along the way

Which of the correct labels was used