Contents

Simple stats

ans =

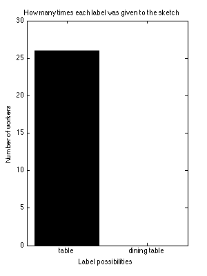
Correct guesses: 26 (87% of all workers)


ans =

Incorrect guesses: 4 (13% of all workers)


ans =

No guesses made: 0 (0% of all workers)


ans =

Total # sketch strokes: 7


ans =

Sketch stroke at which guessed: mean=4.88462, std=1.24344 (70% of whole sketch)


ans =

Number of guesses: mean=1.33333, std=0.660895

Worker comments on sketch

 
com{1} =
 
What is it?
 

When correct guesses were made

Wrong guesses made along the way

Which of the correct labels was used